桃李面包沦为“提款机” 大股东58次减持套现38亿
桃李面包即便抛去疫情影响,近些年营业收入也呈现增速放缓的趋势。首先,区域扩张未见成效,产品过于单一。另外,产品在一线城市、沿海城市竞争力不足,新锐面包茶饮店成最大竞争对手。
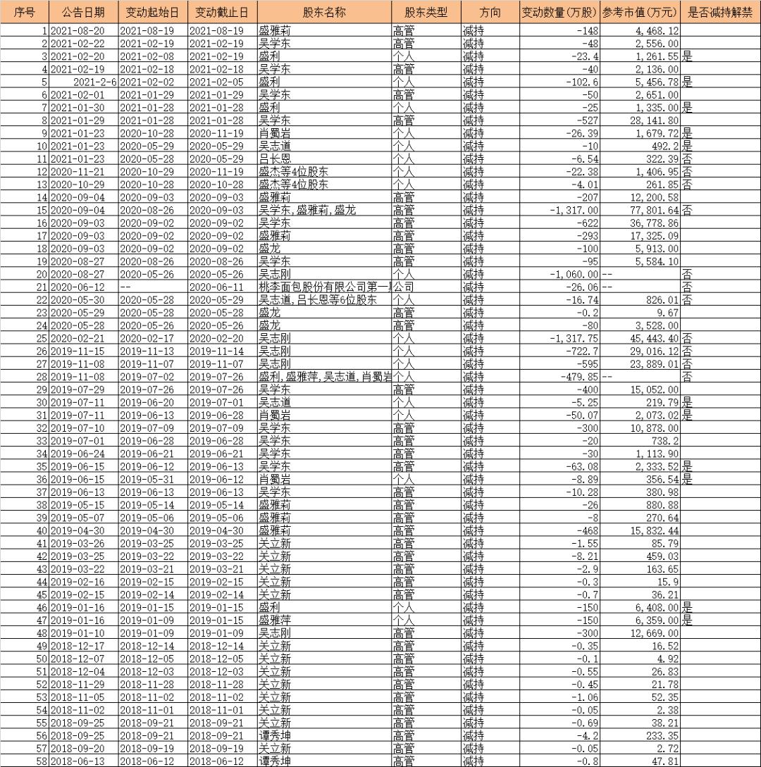
凤凰网财经《市值观察》注意到,近些年吴志刚等大股东们似乎更专注于将纸面财富落袋为安,近5年以来合计减持58次,已经套现约38.72亿元,另有约20亿元现金分红流入到吴学群家族的口袋,说桃李面包成大股东“提款机”似乎不为过。
随着桃李面包的大规模扩张,食品安全问题已经越发成为困扰企业进一步发展的问题之一。消费者吃出异物时成为网络头条,异物的种类也五花八门,其中包括假牙、塑料、石头、苍蝇、飞虫等。
对于桃李面包很多人并不陌生,它曾是大家童年的记忆。
1995年,60岁的老教师吴志刚退休,他拉着二儿子吴学群在当地开办了一个面包作坊,可能是教书的缘故,他给面包厂起名为“桃李”。
经过20年的发展,桃李面包于2015年登陆了A股,也成了中国“面包第一股”。在2020福布斯中国400富豪榜上,吴志刚家族的财富达300.9亿元,成为沈阳首富。
不过上市以后桃李面包发展并不如意,由于产品单一等问题企业进入瓶颈期,全国性扩张始终未见成效。
更为担忧的是,桃李面包一方面要面对盐津铺子、三只松鼠等新消费品牌的入侵,另一方面还要面对奈雪的茶、喜茶等新锐面包茶饮店的冲击。
近些年吴志刚等大股东们似乎更专注于将纸面财富落袋为安,合计减持58次,套现约38.72亿元。
沈阳首富家族已套现38亿
桃李面包是一家典型的家族型企业。上市时招股说明书显示,公司136名股东均为自然人,实际控制人为吴学群、吴学亮、吴志刚、盛雅莉和吴学东,其中吴志刚和盛雅莉为夫妻关系,吴学群、吴学亮分别是次子和三子。

在2020福布斯中国400富豪榜上,按居住地排行,吴志刚家族的财富达300.9亿元,稳坐沈阳首富的宝座。
近些年,吴志刚等大股东们似乎更专注于将纸面财富落袋为安,近5年以来合计减持58次,已经套现约38.72亿元,而增持仅17次,合计约4.24亿元,其中有4亿为2020年推出的员工持股计划。

桃李面包曾在去年11月27日还曾发布公告回应股东频繁减持称,但是措辞较为“标准化”,“公司控股股东吴志刚先生和盛雅莉女士已属高龄,因个人生活需求而减持公司股份,其余亲属因个人资金需求而减持部分公司股份,并不存在对公司发展信心不足的原因”。
据2021年3季报数据显示,桃李面包前10大股东持有总股本约77.54%,其中吴学群、吴学亮、吴志刚、盛雅莉、吴学东、盛龙和盛雅萍等人合计持股约66%,未来或有进一步减持意愿。

一般大股东持股比例较高,上市公司分红意愿就越强烈,桃李面包也是如此。据wind数据显示,桃李面包除2016年之外分红支付率均超过70%,公司上市以来盈利约35.04亿元,而合计分红25.69亿元,其中有约20亿元流入到吴学群家族的口袋,说桃李面包成大股东提款机似乎不为过。
营收放缓南下扩张遇阻
大股东频繁套现的另一面,则是公司业绩的发力表现。据2021三季报显示,公司主营收入46.63亿元,同比上升6.67%;归母净利润5.68亿元,同比下降17.16%;扣非净利润5.3亿元,同比下降18.28%。
其中2021年第三季度,公司单季度主营收入17.24亿元,同比上升5.57%;单季度归母净利润1.99亿元,同比下降25.82%;单季度扣非净利润1.92亿元,同比下降25.28%。
对于净利润下滑,桃李面包在公告中表示,其主要原因是去年同期受国家阶段性社保减免政策影响,桃李面包人力成本费用低于本期;部分原材料价格上涨导致产品成本有所增加;去年同期受疫情影响,促销活动相对较少,本期折让率、返货率均高于上期。

值得担忧的是,桃李面包即便抛去疫情影响,近些年营业收入也呈现增速放缓的趋势。2018-2021年上半年营收增速分别为18.47%、16.77%、5.66%和6.67%,而造成营收放缓的因素有多个方面。
首先,区域扩张未见成效。桃李面包采用“中央工厂+批发”的经营模式,计划从大本营东北区域开始逐步向全国布局,但上市以来的这轮扩张还未见成效

从绝对值上,桃李面包自上市以来已经获得不错的成绩,但是不容忽视的是近些年扩张稍显乏力。以大本营东北地区为例,公司自2015年营业收入由11.74亿元提升至2020年的28.01亿元,但同比增长率却分别为27.36%、18.95%、17.60%、14.21%和5.14%,增速明显趋缓。

在扩张受阻的同时,公司的盈利能力同样不容乐观。据其半年报显示,桃李面包在全国拥有37家子公司,其中17家都处于亏损的状态,累计亏损4737.51万元,2016年至今成立的18家子公司中有13家公司亏损。
凤凰网财经《市值观察》注意到,桃李面包在半年报中提到,今年建设中或已投产的基地包括江苏、沈阳、浙江、四川和青岛等地区子公司,其中江苏、浙江、青岛、四川均为亏损子公司,青岛子公司处于盈亏平衡线,仅沈阳子公司实现盈利,这部分产能落地之后是为公司带来正收益还是会造成亏损进一步放大值得关注。
(1)设计产能 2.20 万吨的江苏桃李面包(句容)生产基地项目已于 2021 年 3 月投产,2021 年 3月到 6 月底实际产能为 0.83 万吨。
(2)设计产能 6.00 万吨的沈阳桃李面包系列产品生产基地项目按计划在建设中。
(3)设计产能 4.28 万吨的浙江桃李面包有限公司生产基地建设项目按计划在建设中。
(4)设计产能 2.50 万吨的四川桃李面包有限公司烘焙食品生产项目按计划在建设中。
(5)设计产能 2.96 万吨的青岛桃李食品烘焙食品生产基地项目按计划在建设中。
其次,产品过于单一。桃李面主营产品除面包之外,还包括月饼和粽子等节日性的消费品,但由于消费时段较为集中,自身也没有品牌优势,很难对营业收入提供太多帮助。据2020年年报显示,公司面包产品占营收比高达97.89%,而月饼和粽子则分别占1.97%和0.13%。
在同行业中,近些年发展速度较快的盐津铺子则在不断培育自己的新产品。公司2018年起成功打造中保休闲烘焙点心第二曲线,增加了休闲蛋糕、面包、薯片、沙琪玛、果冻布丁、糖果巧克力饼干等新品。
据wind数据显示,2017-2020年盐津铺子烘焙产品的营收分别为0.54亿元、2.15亿元、4.10亿元和6.81亿元,同比增长296.58%、90.26%和66%。

在这些起家于互联网渠道的新消费品牌不断入侵桃李面包“地盘”的同时,桃李面包似乎并没有还手之力。在半年报中公司提到“为迎合线上消费的需求,公司在天猫、京东等平台开通官方旗舰店,设立专门电商团队进行经营管理”,但并未透露具体的销售数据。
另外,产品在一线城市、沿海城市竞争力不足,新锐面包茶饮店成最大竞争对手。从亏损子公司我们不难发现,桃李面包盈利的子公司多为内陆或东北地区子公司,而亏损企业则多为东南沿海子公司,其中,早在2000年就已成立的上海子公司更是已经连续多年亏损,这或是由于公司产品很难俘获口味更为挑剔的消费者,相比之下新锐面包茶饮店更有消费市场。

目前,我国面包行业按照经营模式主要分为两类,一种是中央工厂+批发模式,代表品牌有桃李面包、曼可顿、宾堡等,这种模式通过标准化的产品和包装提高生产效率,增强规模效应。另一种是设立连锁面包房,开启开设在人口密集的商业区和居民区,通过可视化的操作和专业化的现场加工,最大限度满足顾客的产品质量、口感和新鲜程度等方面的要求。
桃李面包的“中央工厂+批发”的模式生产具有规模效应,产品的覆盖人群更广,价格也具有竞争优势,所以在短保面包(保质期7天之内的面包)的市场占有率常年高于30%。
不过我国正处于消费升级阶段,人均消费水平呈上升趋势,更加追求口感,对于产品价格并不过于敏感,这点在于沿海经济较发达地区尤为明显。
也是源于此,奈雪的茶、喜茶为代表的新锐面包茶饮店应运而生,通过现做现卖和使用高质量材料,即从口感上打动消费者,又打消对食品安全和健康问题的顾虑。其中,奈雪的茶已于港交所上市,尽管未能盈利,但是今年上半年营收为21.26亿元,同比增长80%。
据普华永道思略特研报,一线城市高端烘焙店的客单价已经达到50元,成为日常奢侈品,满足了都市年轻人对于生活品质的需求,烘焙品已经具有一定的口红效应,未来受经济影响也会有限。
当然,桃李面包也认识到这一点,其在半年报中表示,“在原有明星单品的基础上,公司不断加强新产品的开发和推广,加快产品更新速度,推出了乳酪面包、岩烧蛋糕、海苔香松蛋糕、白桃味口袋三明治等一系列新产品,以适应当前消费习惯和消费潮流的变化趋势,保持产品竞争力,满足消费者多样化的需求”。
假牙、虫子、纸屑…桃李面包卫生问题频发
随着桃李面包的大规模扩张,食品安全问题已经越发成为困扰企业进一步发展的问题之一。
消费者吃出异物时成为网络头条,异物的种类也五花八门,其中包括假牙、塑料、石头、苍蝇、飞虫等。

今年3月份,大连市民郭先生反映,亲属于3月25日在一家超市购买了桃李食品公司生产的“幸福紫米糯面包”后,老人在面包里吃出了一排假牙。
桃李面包销售部负责人表示,公司生产的面包都是使用机器进行馅料填充,而且产品在出厂前都会经过金属检测,暂不清楚假牙为何会进入面包中,现在正和顾客进行协商,如果是合理诉求,还会秉着顾客至上的态度来处理。

不过在后续的处理过程中似乎并不顺畅,3月29日郭先生透露当时业务人员给的解决方案是补贴5袋面包,而郭先生则是要求桃李面包解释为何会发生该事件。

3月31日晚上,郭先生在微博中透露,桃李面包业务员曾拿言语敲到其家属,导致家属精神恍惚,甚至连门都不敢出。

与郭先生有同样遭遇的不在少数,有消费者在投诉平台上反应,“曾在便利蜂购买桃李面包,孩子被面包中的黑色异物硌到牙齿,希望得到食品安全保障。在联系便利蜂后被推到桃李销售人员,后来销售让我把面包和异物寄给她。厂家说鉴别不出是什么,就不再搭理了。他们用哄骗的方式让我把证物给他们,希望能够讨要一个说法”。
目前,桃李面包经过大幅下跌,估值已跌至33倍,这处于上市以来的最低区间。
凤凰网财经《市值观察》注意到,富国基金知名基金经理朱少醒管理的富国天惠精选(LOF),在第三季度进入了桃李面包前十名股东之列。
对于基金经理而言,自然不是单单看重桃李面包的低估值,更多还是公司自身的核心竞争力,比如公司品牌在某些地区的优势,产品的刚需以及性价比,经营方面严控成本费用的能力等等。
不过公司目前面临的问题同样不容忽视,尤其是在消费升级的大环境下,桃李面包如何守住自己的阵地,又如何寻找新的角度来俘获年轻消费者,这是不得不面临的问题,近些年持续低迷的财务报表,显然已经给公司敲响了警钟。












